| Id | hg38/variant_frequencies/gnomAD_4.1.0/exomes/ALL |
|---|---|
| Type | allele_score |
| Version | 0 |
| Summary |
gnomAD v4.1.0 exome variants (ALL)
|
| Description |
gnomAD, or the Genome Aggregation Database, is a comprehensive resource of human genetic variation, managed by the Broad Institute of MIT and Harvard. It aggregates data from numerous genomic studies, compiling information on millions of genetic variants from the genomes and exomes of hundreds of thousands of individuals. This extensive database aids genetic research, enhancing our understanding of the genetic basis of diseases and supporting the development of precision medicine by providing insights into the distribution of genetic variations across diverse populations. Downloaded on 6/27/2024 https://gnomad.broadinstitute.org/downloads |
| Labels |
|
| ID | Type | Default annotation | Description | Histogram | Range |
|---|---|---|---|---|---|
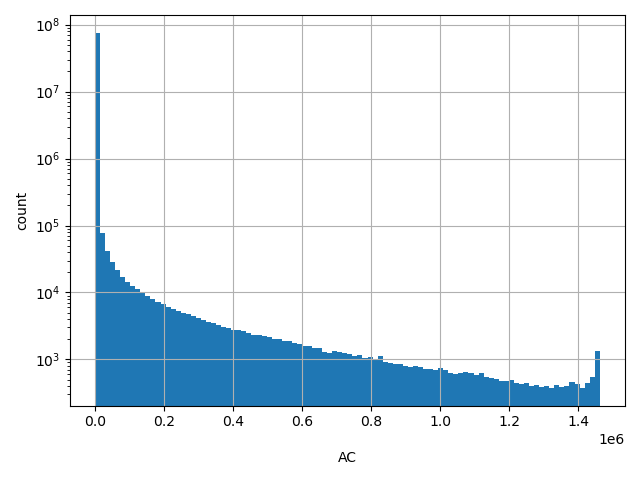
| AC | int |
- |
Alternate allele count
|
![]() |
[1, 1.46e+06] |
| AN | int |
- |
Total number of alleles
|
![]() |
[1, 1.46e+06] |
| AF | float |
gnomad_v4_exome_ALL_af |
Alternate allele frequency
|
![]() |
[6.84e-07, 1] |
| AF_percent | float |
- |
Alternate allele frequency as percent
|
![]() |
[6.84e-05, 100] |
| Filename | Size | md5 |
|---|---|---|
| genomic_resource.yaml | 2.34 KB | 6c44bd753f0ba9610a11651230205942 |
| gnomad_4_1_0_exomes_all.txt.bgz | 1.32 GB | 84b39c206fbeb5c45b45ecb673a18b3e |
| gnomad_4_1_0_exomes_all.txt.bgz.dvc | 117.0 B | aa3ab15fc1cf3f0402ad6fd7e3cd1de2 |
| gnomad_4_1_0_exomes_all.txt.bgz.tbi | 1.01 MB | 197e309d4667a8df0e40acd3a12fd8ca |
| gnomad_4_1_0_exomes_all.txt.bgz.tbi.dvc | 118.0 B | e96e30833d8eb76a71736a029a242788 |
| statistics/ |